Riêng với sheet tính mẫu cho từng khoa, bạn cân nhắc điều chỉnh p-0.5 nếu lần đầu. chưa ước lượng được p. Và độ tin cậy là 95% thay vì 90% như ví dụ. Nhưng cân nhắc nguồn lực và mục đích sử dụng kết quả để lựa chọn.
Với nguyên tắc tương tự, bạn có thể tính cho người bệnh ngoại trú.
Trong triển khai khảo sát hài lòng người bệnh nội trú, một trong những vấn đề thường gặp tại các bệnh viện là xác định số lượng phiếu khảo sát cần thiết sao cho kết quả vừa có ý nghĩa thống kê, vừa có thể sử dụng để phục vụ quản trị và cải tiến chất lượng. File “Tính cỡ mẫu KSHL nội trú.xlsx” được xây dựng nhằm giải quyết trực tiếp bài toán này, giúp chuẩn hóa phương pháp tính mẫu và thống nhất cách triển khai trong toàn viện.
Khác với cách làm mang tính ước lượng hoặc phân bổ cảm tính, file hướng dẫn này dựa trên nguyên lý thống kê về ước lượng tỷ lệ, từ đó cho phép tính toán cỡ mẫu một cách khoa học, có kiểm soát về độ tin cậy và sai số. Điều này đặc biệt quan trọng khi kết quả khảo sát được sử dụng để báo cáo, so sánh theo thời gian hoặc làm căn cứ cho các quyết định cải tiến chất lượng.
1. Mục tiêu và phạm vi áp dụng
File được thiết kế để phục vụ đồng thời hai mục tiêu khác nhau nhưng có liên quan chặt chẽ trong thực hành quản lý chất lượng bệnh viện:
- Tính cỡ mẫu để ước lượng tỷ lệ hài lòng chung của toàn bệnh viện, phục vụ báo cáo tổng hợp và đánh giá mức độ hài lòng chung của người bệnh nội trú.
- Tính cỡ mẫu riêng cho từng khoa lâm sàng, nhằm đánh giá và so sánh chất lượng dịch vụ giữa các khoa, từ đó hỗ trợ các hoạt động cải tiến có trọng tâm.
Với cách tiếp cận này, file không chỉ là công cụ tính toán mà còn đóng vai trò như một khung phương pháp luận, giúp bệnh viện triển khai khảo sát hài lòng theo hướng bài bản và có thể lặp lại.
2. Nguyên lý tính cỡ mẫu
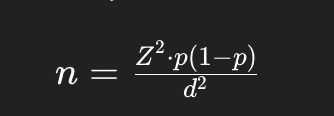
Việc xác định cỡ mẫu trong file dựa trên công thức ước lượng tỷ lệ trong thống kê, trong đó cỡ mẫu phụ thuộc vào ba yếu tố chính là mức tin cậy, sai số chấp nhận và tỷ lệ hài lòng ước đoán ban đầu.

Trong đó, giá trị n tính được sẽ tiếp tục được hiệu chỉnh theo quy mô tổng thể người bệnh nội trú của bệnh viện để đảm bảo phù hợp với thực tế triển khai:
- Z là hệ số tương ứng với mức tin cậy thống kê, thường lựa chọn 95% hoặc 99% tùy mục đích sử dụng dữ liệu.
- p là tỷ lệ hài lòng ước đoán, có thể lấy theo số liệu các năm trước hoặc sử dụng giá trị giả định khi chưa có dữ liệu.
- d là sai số chấp nhận, thể hiện mức độ chênh lệch tối đa giữa mẫu và tổng thể mà bệnh viện có thể chấp nhận.
Việc sử dụng công thức này giúp đảm bảo rằng kết quả khảo sát không chỉ mang tính tham khảo mà có thể suy rộng cho toàn bộ người bệnh nội trú với độ tin cậy xác định trước.
3. Cấu trúc file và ý nghĩa từng phần
File được xây dựng với cấu trúc rõ ràng, mỗi sheet đảm nhiệm một chức năng riêng nhưng có liên kết logic với nhau, giúp người sử dụng dễ dàng nhập liệu và theo dõi kết quả.
- Sheet “CoMau-ToanVien” được sử dụng để tính cỡ mẫu khảo sát cho toàn bệnh viện, dựa trên tổng số người bệnh nội trú trong kỳ khảo sát. Người sử dụng chỉ cần nhập các tham số cơ bản như tổng số ca điều trị nội trú, tỷ lệ hài lòng ước đoán, sai số mong muốn và mức tin cậy, file sẽ tự động tính ra số lượng phiếu khảo sát cần thực hiện tối thiểu.
- Sheet “CoMau-TheoKhoa” được thiết kế để tính cỡ mẫu cho từng khoa lâm sàng. Tại đây, mỗi khoa được xem như một tổng thể riêng biệt, và cỡ mẫu được tính toán độc lập nhằm đảm bảo rằng kết quả của từng khoa có đủ độ tin cậy để so sánh và phân tích.
- Sheet “DuLieuGoc” đóng vai trò là nguồn dữ liệu đầu vào, bao gồm danh sách các khoa và số lượng người bệnh nội trú tương ứng trong kỳ khảo sát. Đây là cơ sở để hiệu chỉnh cỡ mẫu theo quy mô thực tế của từng khoa và toàn viện.
Cách tổ chức này giúp tách bạch rõ ràng giữa dữ liệu đầu vào, quá trình tính toán và kết quả đầu ra, đồng thời hạn chế sai sót trong quá trình sử dụng.
4. Áp dụng trong tính tỷ lệ hài lòng toàn viện
Khi sử dụng file để tính tỷ lệ hài lòng chung toàn bệnh viện, người dùng cần xác định tổng số người bệnh nội trú trong khoảng thời gian khảo sát, sau đó lựa chọn các tham số phù hợp với mục tiêu quản lý.
Việc tính cỡ mẫu toàn viện giúp trả lời câu hỏi: cần khảo sát tối thiểu bao nhiêu người bệnh để có thể ước lượng tỷ lệ hài lòng chung với độ tin cậy xác định trước. Kết quả này thường được sử dụng trong các báo cáo gửi cơ quan quản lý, đánh giá chất lượng định kỳ hoặc theo dõi xu hướng thay đổi qua các năm.
Trong thực tế, cỡ mẫu toàn viện thường dao động quanh vài trăm phiếu, tùy thuộc vào quy mô bệnh viện và mức sai số lựa chọn. Con số này là cơ sở quan trọng để lập kế hoạch khảo sát, phân bổ nhân lực và kiểm soát tiến độ thực hiện.
5. Áp dụng trong tính tỷ lệ hài lòng từng khoa
Đối với từng khoa lâm sàng, file cho phép tính cỡ mẫu riêng biệt thay vì chỉ phân bổ từ tổng mẫu toàn viện. Đây là điểm khác biệt quan trọng và cũng là yếu tố quyết định chất lượng dữ liệu khi phân tích theo khoa.
Khi mỗi khoa được xem là một tổng thể độc lập, cỡ mẫu của khoa sẽ đảm bảo rằng tỷ lệ hài lòng tính toán phản ánh đúng thực tế của khoa đó, thay vì chỉ mang tính tham khảo. Điều này đặc biệt có ý nghĩa khi bệnh viện cần:
- So sánh mức độ hài lòng giữa các khoa.
- Xác định các khoa có vấn đề về chất lượng dịch vụ.
- Theo dõi hiệu quả của các biện pháp cải tiến sau can thiệp.
Trong trường hợp chỉ phân bổ mẫu từ tổng số toàn viện theo tỷ lệ, các khoa có quy mô nhỏ thường sẽ không đủ số mẫu cần thiết, dẫn đến kết quả thiếu ổn định và khó sử dụng cho mục đích quản trị.
6. Giá trị thực tiễn của file trong quản lý chất lượng
Việc áp dụng file tính cỡ mẫu không chỉ giúp chuẩn hóa hoạt động khảo sát hài lòng mà còn góp phần thay đổi cách tiếp cận của bệnh viện đối với dữ liệu.
- Khảo sát không còn là hoạt động mang tính hình thức mà trở thành công cụ đo lường có cơ sở khoa học.
- Kết quả khảo sát có thể sử dụng trực tiếp trong phân tích, so sánh và ra quyết định.
- Dữ liệu thu thập được có tính nhất quán giữa các khoa và giữa các thời điểm khác nhau.
Quan trọng hơn, khi cỡ mẫu được xác định đúng ngay từ đầu, toàn bộ hệ thống khảo sát sẽ vận hành hiệu quả hơn, giảm lãng phí nguồn lực và tăng giá trị sử dụng của dữ liệu.
File “Tính cỡ mẫu KSHL nội trú.xlsx” không đơn thuần là một bảng tính Excel mà là một công cụ chuẩn hóa phương pháp khảo sát hài lòng người bệnh nội trú theo hướng tiếp cận khoa học và phục vụ quản trị. Khi được sử dụng đúng cách, file sẽ giúp bệnh viện thiết lập được một hệ thống khảo sát có độ tin cậy cao, đủ khả năng hỗ trợ các hoạt động cải tiến chất lượng ở cả cấp toàn viện và từng khoa lâm sàng.
- Đăng nhập để gửi ý kiến