Website CLBV.VN và các nền tảng trong hệ sinh thái QuanTriBenhVien.Vn được xây dựng bởi các thành viên có kinh nghiệm tại các bệnh viện, công ty. Web không có liên quan tới bất kỳ Vụ, Cục nào của BYT hay SYT --> chi tiết
Nội dung bạn cần không thấy trên website, có thể do bạn chưa đăng nhập hoặc tài khoản đã hết hạn. Nếu là thành viên của website, bạn cũng có thể yêu cầu trong nhóm Zalo "CLBV Members" các nội dung bạn quan tâm.

Kính gửi Anh/Chị/Em đồng nghiệp,

Trong thời gian qua, CLBV nhận được sự ủng hộ rất lớn từ cộng đồng. Website đã nằm trong nhóm đầu kết quả tìm kiếm với nhiều từ khóa liên quan đến Quản lý chất lượng (QLCL) và An toàn người bệnh (ATNB) trong lĩnh vực y tế.

Tuy nhiên, khi lượng truy cập ngày càng tăng, Công ty M.I.U nhận thấy một số vấn đề cần được điều chỉnh để đảm bảo phù hợp với đặc thù chuyên môn:

1. Nội dung QLCL & ATNB có tính chuyên ngành cao

  • Nhiều nội dung mang tính học tập từ sự cố, cải tiến sau sai sót.
  • Nếu tiếp cận ngoài bối cảnh chuyên môn, có thể bị hiểu chưa đầy đủ hoặc sai lệch.

2. Một số tài liệu quản trị cần được sử dụng đúng đối tượng

  • Dù là văn bản công khai, việc áp dụng hiệu quả đòi hỏi hiểu đúng bối cảnh ngành.
  • Phù hợp hơn khi chia sẻ trong cộng đồng những người trực tiếp làm công tác y tế.

3. Hạn chế nguy cơ nhầm lẫn về nhận diện

  • Tên miền clbv.vn có thể gây hiểu nhầm với các hệ thống chính thức của Bộ Y tế.
  • Việc làm rõ và chuẩn hóa nhận diện là cần thiết.

Công ty M.I.U quyết định nâng cấp hệ thống phục vụ đúng đối tượng chuyên môn

Để đảm bảo chất lượng nội dung và phục vụ tốt hơn cho cộng đồng, chúng tôi thực hiện các điều chỉnh:

  • Giới hạn truy cập nội dung: Website dành cho thành viên đã đăng ký, là các đồng nghiệp đang công tác trong lĩnh vực y tế.
  • Chuyển đổi nhận diện sang tên miền mới: QLCL.NET để đồng bộ thương hiệu với các trang trong hệ sinh thái QuanTriBenhVien.Vn như KHTH.VN; CNTT.IT; KSNK.VN; VTTB.VN; HCQT.VN ... hướng đến chia sẻ kiến thức quản trị hiện đại, liên ngành trong bệnh viện không chỉ giới hạn ở QLCL & ATNB.

Chúng tôi tin rằng đây là bước điều chỉnh cần thiết nhằm:

  • Bảo vệ giá trị chuyên môn của nội dung.
  • Đảm bảo thông tin được sử dụng đúng đối tượng, đúng bối cảnh.
  • Xây dựng cộng đồng chia sẻ chất lượng, hiệu quả.

Rất mong tiếp tục nhận được sự đồng hành của Anh/Chị/Em đồng nghiệp.

Công ty M.I.U

Chi tiết hướng dẫn ban hành kèm theo Quyết định số 56/QĐ-BYT

DrVDT

HƯỚNG DẪN

PHƯƠNG PHÁP ĐO LƯỜNG SỰ HÀI LÒNG CỦA NGƯỜI DÂN ĐỐI VỚI DỊCH VỤ Y TẾ CÔNG GIAI ĐOẠN 2024-2030
(Ban hành kèm theo Quyết định số 56/QĐ-BYT ngày 08/01/2024 của Bộ trưởng Bộ Y tế)

I. MỤC TIÊU, YÊU CẦU, PHẠM VI ĐIỀU CHỈNH

1. Mục tiêu

a) Mục tiêu chung

Tổ chức thực hiện đo lường mức độ hài lòng của người dân đối với dịch vụ y tế công (sau đây gọi tắt là đo lường hài lòng) thường xuyên, nhằm góp phần đánh giá khách quan thực trạng chất lượng dịch vụ y tế công, đồng thời giúp các cơ sở y tế công lập xác định những vấn đề chưa hài lòng của người sử dụng dịch vụ, làm căn cứ xây dựng kế hoạch và triển khai các giải pháp cải tiến chất lượng dịch vụ y tế ngày càng tốt hơn, bảo đảm quyền được bảo vệ, chăm sóc và nâng cao sức khỏe cho mọi người.

b) Mục tiêu cụ thể

- Xây dựng phương pháp, bộ công cụ, cách tiến hành đo lường hài lòng.

- Xác định chỉ số hài lòng của người dân đối với dịch vụ y tế công.

- Công bố chỉ số hài lòng về dịch vụ y tế công hằng năm trên phạm vi toàn quốc và tại các địa phương.

c) Chỉ tiêu thực hiện

- Hằng năm, 100% các cơ quan quản lý ngành y tế công bố tỷ lệ hài lòng của người dân đối với dịch vụ sự nghiệp y tế công.

- Hằng năm, 100% các cơ sở khám chữa bệnh công lập và trạm y tế thực hiện đo lường hài lòng của người dân đối với dịch vụ y tế do đơn vị cung cấp có sử dụng kết quả đo lường triển khai các giải pháp cải tiến chất lượng cung cấp dịch vụ.

- 100% các cơ sở y tế công lập đã thực hiện đo lường hài lòng công khai kết quả trên trang tin điện tử của đơn vị hoặc tại trụ sở đơn vị.

- Đến năm 2025, mức độ hài lòng của người dân đối với dịch vụ y tế công lập đạt tối thiểu 85% và đến năm 2030 đạt tối thiểu 90%.

2. Yêu cầu

a) Phương pháp đo lường bảo đảm tính khoa học, phù hợp với thực tiễn trong nước và tiếp cận với xu hướng trên thế giới, dễ áp dụng, phù hợp với nguồn lực thực hiện của các đơn vị sự nghiệp y tế công lập, hiệu quả, tiết kiệm, tránh lãng phí.

b) Nội dung tiêu chí đo lường hài lòng bao trùm các khía cạnh dịch vụ y tế công, phù hợp với mục tiêu, yêu cầu của cải cách hành chính, quy định của pháp luật hiện hành.

c) Bộ câu hỏi đơn giản, dễ hiểu, dễ trả lời, phù hợp với trình độ dân trí, thuận tiện trong việc áp dụng công nghệ thông tin, có thể đăng tải trên các kênh thông tin.

d) Kết quả đo lường hài lòng bảo đảm độ tin cậy, tính chính xác, phản ánh đúng thực chất, xác định được những vấn đề người dân chưa hài lòng; giúp cơ sở y tế xác định vấn đề tồn tại, hạn chế để triển khai giải pháp cải tiến, nâng cao chất lượng dịch vụ y tế công.

đ) Kết quả đo lường hài lòng được công bố công khai trong và ngoài các đơn vị sự nghiệp y tế công lập.

3. Phạm vi điều chỉnh về dịch vụ y tế công

Tổ chức triển khai đo lường sự hài lòng của người dân đối với dịch vụ khám bệnh, chữa bệnh và dịch vụ tiêm chủng mở rộng tại các cơ sở y tế công lập.

II. PHƯƠNG PHÁP TIẾN HÀNH

2.1. Đối tượng đo lường

a) Đối với dịch vụ khám, chữa bệnh

Với người bệnh nội trú: người bệnh (bao gồm sản phụ) thuộc danh sách chuẩn bị xuất viện (trước ngày ra viện 01 ngày hoặc trong ngày xuất viện) hoặc người chăm sóc người bệnh/sản phụ từ 18 tuổi trở lên, đủ điều kiện về sức khỏe để trả lời và đồng ý tham gia.

Với người bệnh ngoại trú: người bệnh (bao gồm phụ nữ mang thai) từ 18 tuổi trở lên, có đủ điều kiện về sức khỏe để trả lời khảo sát, sau khi đã cơ bản hoàn thành quy trình khám bệnh, đang chờ thanh toán hoặc chờ nhận thuốc hoặc nhận thẻ bảo hiểm y tế đồng ý tham gia.

b) Đối với dịch vụ tiêm chủng mở rộng

Phụ nữ mang thai đi tiêm phòng và người đưa trẻ đi tiêm chủng mở rộng đã sử dụng xong dịch vụ và đồng ý tham gia khảo sát.

2.2. Cỡ mẫu đo lường

- Đối với dịch vụ khám chữa bệnh

Cỡ mẫu phỏng vấn người bệnh nội trú và người bệnh ngoại trú của mỗi cơ sở khám chữa bệnh được xác định theo công thức tính cỡ mẫu một tỷ lệ trong nghiên cứu cắt ngang, có hiệu chỉnh theo quy mô cung cấp dịch vụ/ngày của từng cơ sở và tỷ lệ từ chối trả lời.

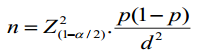
Bước 1: Áp dụng công thức tính cỡ mẫu trong nghiên cứu cắt ngang:

- n: Số người bệnh ngoại trú/nội trú cần khảo sát của mỗi cơ sở chưa hiệu chỉnh theo quy mô/số lượt điều trị nội trú hoặc khám ngoại trú/ngày.

- z: Hệ số tin cậy (với độ tin cậy 95% thì giá trị của z(1-α/2) là 1,96).

- p: Tỷ lệ người bệnh hài lòng về dịch vụ y tế (Tỷ lệ ước tính đạt 85% người dân hài lòng với dịch vụ khám chữa bệnh tại các cơ sở y tế công lập: p=0,85).

- d: Sai số chấp nhận/độ chính xác tuyệt đối mong muốn, d=0,05.

Bước hai: hiệu chỉnh cỡ mẫu (n) theo quy mô/số lượt điều trị nội trú hoặc khám ngoại trú/ngày theo công thức n/(1 + (n - 1)/N).

(trong đó: N là số lượt điều trị nội trú/ngày hoặc số lượt khám ngoại trú/ngày).

Như vậy, ước tính tỷ lệ từ chối trả lời là 10%, cỡ mẫu khảo sát của mỗi đơn vị tương thích với số lượt cung cấp dịch vụ tại thời điểm khảo sát như sau:

Số lượt người bệnh nội trú/ngày số người bệnh ngoại trú/ngày của cơ sở y tế

Cỡ mẫu (nội trú/ngoại trú) cần khảo sát

Dưới 50

43

Từ 50-79

44-62

Từ 80-89

63-68

Từ 90-99

69-73

Từ 100-199

74-109

Từ 200-399

110-145

Từ 400-599

146-163

Từ 600-699

164-169

Từ 700-999

170-181

Từ 1.000-1999

182-197

Từ 2.000-3999

198-207

>=4000

>=208

- Đối với dịch vụ tiêm chủng mở rộng

Đối với trạm y tế có dưới 50 lượt tiêm/tháng, mỗi lần khảo sát sẽ phỏng vấn toàn bộ số lượt sử dụng dịch vụ cho đến đủ 30 lượt người.

Đối với trạm y tế có từ 50 đến dưới 100 lượt tiêm/tháng, mỗi lần khảo sát sẽ phỏng vấn tối thiểu 30 lượt người.

Đối với trạm y tế có từ 100 đến dưới 300 lượt tiêm/tháng, mỗi lần khảo sát sẽ phỏng vấn tối thiểu 40 lượt người.

Đối với trạm y tế có từ 300 đến dưới 500 lượt tiêm/tháng, mỗi lần khảo sát sẽ phỏng vấn tối thiểu 50 lượt người.

2.3. Cách chọn mẫu

2.3.1. Đối với dịch vụ khám chữa bệnh 

a) Phỏng vấn người bệnh nội trú

- Chọn khoa để khảo sát: theo 1 trong 2 cách sau cho mỗi đợt khảo sát:

Cách 1: chọn mẫu ở toàn bộ khoa lâm sàng có giường bệnh (trừ khoa cấp cứu) trong 1 lần đo lường.

Cách 2: chọn mẫu tại một số khoa lâm sàng trong một lần khảo sát, thay đổi sang các khoa lâm sàng khác ở lần khảo sát tiếp theo, bảo đảm mỗi khoa phải được khảo sát ít nhất 01 lần trong năm.

Cỡ mẫu của mỗi khoa được chọn tương thích với tỷ lệ số lượt điều trị nội trú của khoa trong tổng số lượt điều trị nội trú của cơ sở khám chữa bệnh tại thời điểm khảo sát.

- Chọn đối tượng để phỏng vấn:

Chọn ngẫu nhiên người bệnh/người nhà người bệnh trong danh sách người bệnh sắp ra viện tại mỗi khoa để khảo sát theo một trong hai cách sau:

+ Chọn ngẫu nhiên hệ thống: đối với những khoa có danh sách người bệnh sắp ra viện nhiều hơn số người bệnh cần phỏng vấn.

Xác định hệ số k: hệ số k được xác định bằng tổng số người bệnh sắp ra viện chia cho số người bệnh cần phỏng vấn. Sử dụng hệ số k làm bước nhảy để chọn người bệnh/người nhà người bệnh trong danh sách người bệnh sắp ra viện để phỏng vấn. Từ danh sách người bệnh sắp ra viện của đơn vị, người đầu tiên được lựa chọn phỏng vấn (i) được chọn ngẫu nhiên đơn, sau đó sử dụng bước nhảy k để chọn người tiếp theo với công thức: i+1k, i+2k,… i+(n-1)k.

+ Chọn ngẫu nhiên đơn: chọn ngẫu nhiên người bệnh/người nhà người bệnh bất kỳ trong danh sách người bệnh sắp ra viện của khoa đến đủ số mẫu.

b) Phỏng vấn người bệnh ngoại trú: áp dụng 1 trong 2 cách sau đây:

+ Chọn mẫu thuận tiện: chọn người bệnh đang chờ nhận thuốc, thanh toán hoặc chờ nhận thẻ bảo hiểm y tế để phỏng vấn cho đến khi đủ cỡ mẫu.

+ Chọn ngẫu nhiên hệ thống

Xác định hệ số k như trên. Từ danh sách người bệnh ngoại trú của đơn vị, chọn ngẫu nhiên người đầu tiên để phỏng vấn (i); sau đó sử dụng bước nhảy k để chọn người tiếp theo với công thức: i+1k, i+2k,… i+(n-1)k cho đến đủ số lượng.

2.3.2. Đối với dịch vụ tiêm chủng mở rộng

a) Đối với trạm y tế có từ 50 lượt tiêm trở lên trong một tháng:

- Lập danh sách chọn mẫu (khung mẫu) là danh sách lượt trẻ em, phụ nữ mang thai đến tiêm chủng do trạm y tế (hoặc cơ sở tiêm chủng mở rộng khác) quản lý, tính hệ số k rồi chọn ngẫu nhiên hệ thống theo hệ số k.

- Từ danh sách người tiêm chủng của đơn vị, chọn ngẫu nhiên người đầu tiên để phỏng vấn (i). Sau đó sử dụng bước nhảy k để chọn người tiếp theo với công thức: i+1k, i+2k,… i+ (n-1)k. Nếu trong thời điểm khảo sát, người được chọn không đến thì chọn người kế tiếp theo trong khung mẫu để thay thế.

b) Đối với các trạm y tế có số lượt tiêm dưới 50 lượt tiêm/tháng:

Chọn mẫu phỏng vấn là toàn bộ số người sử dụng dịch vụ cho tới khi đủ 30 lượt người. Nếu không đủ 30 lượt người thì phỏng vấn toàn bộ số người sử dụng dịch vụ.

2.4. Tiêu chí để đo lường hài lòng, thời điểm tiến hành

a) Các tiêu chí đo lường sự hài lòng đối với dịch vụ khám chữa bệnh và dịch vụ tiêm chủng mở rộng:

TT

5 nhóm Chỉ số

Dịch vụ Khám chữa bệnh nội trú

Dịch vụ Khám chữa bệnh ngoại trú

Dịch vụ Tiêm chủng mở rộng

1

Chỉ số thành phần về tiếp cận

5 tiêu chí

5 tiêu chí

4 tiêu chí

2

Chỉ số thành phần về minh bạch thông tin, thủ tục hành chính

7 tiêu chí

10 tiêu chí

8 tiêu chí

3

Chỉ số thành phần về cơ sở vật chất, phương tiện phục vụ

11 tiêu chí

8 tiêu chí

12 tiêu chí

4

Chỉ số thành phần về thái độ ứng xử, năng lực chuyên môn của nhân viên y tế

7 tiêu chí

4 tiêu chí

5 tiêu chí

5

Chỉ số thành phần về kết quả cung cấp dịch vụ

6 tiêu chí

4 tiêu chí

3 tiêu chí

Các tiêu chí thuộc 5 nhóm chỉ số thành phần chi tiết tại các mẫu phiếu số 1, mẫu phiếu số 2, mẫu phiếu số 3.

b) Thang đo

Mức độ hài lòng của người sử dụng dịch vụ với từng chỉ số thành phần sẽ được đo lường theo thang đo Likert 5 mức, từ mức thấp đến mức cao nhất, cụ thể: (1) hoàn toàn không hài lòng, (2) không hài lòng, (3) bình thường, (4) hài lòng; (5) rất hài lòng.

c) Thời điểm tiến hành

- Đối với cơ sở khám chữa bệnh: thực hiện tự đo lường hài lòng thường quy tối thiểu 1 lần/quý, thực hiện trong khoảng 1-2 tuần.

- Đối với dịch vụ tiêm chủng mở rộng: thực hiện tự khảo sát thường quy 2 lần/năm, cách nhau 6 tháng giữa các lần. Lần đầu tiến hành vào tháng 3 hoặc tháng 4; lần tiếp theo tiến hành vào tháng 9 hoặc tháng 10 trong năm.

- Đối với cơ quan quản lý, tổ chức đo lường độc lập: các đoàn kiểm tra, giám sát có thể đo lường theo định kỳ hoặc đột xuất.

2.5. Nhân lực thực hiện khảo sát

a) Cơ sở y tế tự đo lường hài lòng tiến hành khảo sát, lựa chọn người thực hiện thuộc các nhóm nhân viên y tế sau:

- Cơ sở khám chữa bệnh:

Người thực hiện khảo sát có thể là: (1) nhân viên Phòng Quản lý chất lượng; (2) thành viên mạng lưới quản lý chất lượng; (3) nhân viên Phòng Công tác xã hội, Phòng Tổ chức cán bộ, nhân viên bộ phận chăm sóc khách hàng và nhân viên các phòng chức năng khác; (4) người đo lường chuyên nghiệp; (5) sinh viên các trường đại học, cao đẳng y, dược; (6) tình nguyện viên và các nhân viên khác có kỹ năng đo lường; (7) người bệnh/người chăm sóc người bệnh tự điền phiếu sau khi được hướng dẫn chi tiết.

- Trạm Y tế: người thực hiện khảo có thể là: (1) nhân viên trạm y tế; (2) nhân viên y tế thôn bản; (3) cộng tác viên dân số; (4) tình nguyện viên và các nhân viên khác có kỹ năng đo lường; (5) người sử dụng dịch vụ tiêm chủng tự điền phiếu sau khi được hướng dẫn chi tiết.

b) Tổ chức, đơn vị được giao tiến hành đo lường hài lòng độc lập.

c) Nhân lực thực hiện đo lường hài lòng cần được tập huấn nghiệp vụ.

2.6. Các hình thức đo lường

a) Cơ quan quản lý, cơ sở y tế có thể lựa chọn một hoặc nhiều phương thức để tiến hành tự đo lường hài lòng theo các hình thức sau:

- Phỏng vấn trực tiếp người sử dụng dịch vụ y tế (hoặc người chăm sóc người bệnh) tại cơ sở y tế trước khi kết thúc sử dụng dịch vụ tại cơ sở y tế.

- Phát phiếu cho người sử dụng dịch vụ y tế/người chăm sóc để tự điền.

- Hướng dẫn cho người sử dụng dịch vụ y tế/người chăm sóc để tự trả lời phiếu phỏng vấn trên các phương tiện công nghệ như điện thoại, máy tính bảng, máy tính để bàn, màn hình cảm ứng, ki-ốt khảo sát…được đăng tải trên trang thông tin điện tử (nếu có).

b) Đo lường hài lòng độc lập: cơ quan, tổ chức được cơ quan có thẩm quyền yêu cầu hoặc đề nghị tiến hành khảo sát, đo lường độc lập.

2.7. Mẫu phiếu

- Các cơ sở y tế áp dụng các mẫu phiếu thống nhất chung trên phạm vi toàn quốc: mẫu phiếu đối với dịch vụ khám chữa bệnh gồm 2 loại tương ứng 2 nhóm người bệnh: nội trú (mẫu phiếu số 1) và ngoại trú (mẫu phiếu số 2); mẫu phiếu đối với dụng dịch vụ tiêm chủng mở rộng (mẫu phiếu số 3).

- Phiếu khảo sát gồm nội dung thông tin chung về người trả lời và mức độ hài lòng theo 5 nhóm chỉ số thành phần.

- Phiếu khảo sát sau khi thu thập cần được làm sạch, nhập dữ liệu, tổng hợp và phân tích dữ liệu theo phần mềm thống kê phù hợp với yêu cầu, điều kiện của từng đơn vị (mức 0 là không sử dụng).

III. CÁCH XÁC ĐỊNH CHỈ SỐ VÀ CÔNG BỐ CHỈ SỐ HÀI LÒNG

1. Cách xác định chỉ số hài lòng 

a) Chỉ số hài lòng ở cơ sở y tế

Cơ sở y tế công lập xác định chỉ số hài lòng theo thành phần và chỉ số hài lòng chung của đơn vị như sau:

- Xác định chỉ số thành phần

Xác định chỉ số hài lòng theo từng thành phần (A) được xác định bằng tổng số câu trả lời ở mức độ hài lòng và rất hài lòng theo từng thành phần chia cho tổng số người được khảo sát, phỏng vấn nhân với 100 (không bao gồm các trường hợp chọn phương án trả lời là: không sử dụng dịch vụ hoặc không có ý kiến):

 

Trong đó Anlà:

A1: Chỉ số thành phần về tiếp cận

A2: Chỉ số thành phần về minh bạch thông tin, thủ tục hành chính

A3: Chỉ số thành phần về cơ sở vật chất, trang thiết bị

A4: Chỉ số thành phần về nhân viên y tế

A5: Chỉ số thành phần về kết quả cung cấp dịch vụ

N: là tổng số người được khảo sát (không bao gồm các trường hợp chọn phương án trả lời: không sử dụng dịch vụ): N = n1+n2+n3+nn.

n: là số câu trả lời rất hài lòng và hài lòng (n1, n2, …n).

- Xác định chỉ số hài lòng chung (bao gồm nội trú và ngoại trú)

Cách thứ nhất: chỉ số hài lòng dịch vụ khám chữa bệnh/tiêm chủng là trung bình cộng của các chỉ số hài lòng theo thành phần của các đợt khảo sát.

 

Cách thứ hai: chỉ số hài lòng dịch vụ khám chữa bệnh/tiêm chủng được xác định bằng tổng số câu trả lời ở mức độ hài lòng và mức độ rất hài lòng chia cho tổng số người được hỏi (không bao gồm những người “không có ý kiến”) nhân với 100 của tất cả các đợt khảo sát trong năm.

- Ghi chú:

+ Các cơ sở y tế có thể xác định chỉ số hài lòng theo từng tiêu chí thuộc từng nhóm thành phần ở mỗi loại dịch vụ tiến hành đo lường.

+ Cơ sở cung cấp dịch vụ khám chữa bệnh có thể xác định chỉ số hài lòng đối với dịch vụ khám chữa bệnh riêng biệt ngoại trú và nội trú.

b) Chỉ số hài lòng ở cấp tỉnh

- Chỉ số hài lòng dịch vụ khám chữa bệnh cấp tỉnh (bao gồm nội trú và ngoại trú): là trị số trung bình cộng của chỉ số hài lòng trong các cơ sở khám chữa bệnh công lập trên địa bàn tỉnh, thành phố đã thực hiện đo lường.

- Chỉ số hài lòng dịch vụ tiêm chủng mở rộng là trị số trung bình cộng của chỉ số hài lòng đối với dịch vụ tiêm chủng mở rộng của tất cả các trạm y tế trên địa bàn tỉnh, thành phố đã thực hiện đo lường.

c) Chỉ số hài lòng ở phạm vi cả nước

- Chỉ số hài lòng của người dân đối với dịch vụ khám chữa bệnh là trị số trung bình các chỉ số hài lòng đối với dịch vụ khám chữa bệnh của các đơn vị y tế công lập được khảo sát trên toàn quốc; hoặc được tính theo cách: là trị số trung bình của chỉ số hài lòng đối với dịch vụ khám chữa bệnh cấp của các tỉnh, thành phố trực thuộc trung ương và chỉ số hài lòng đối với dịch vụ khám chữa bệnh tại các bệnh viện trực thuộc Bộ Y tế.

- Chỉ số hài lòng đối với dịch vụ tiêm chủng mở rộng là trị số trung bình của chỉ số hài lòng đối với dịch vụ tiêm chủng mở rộng của tất cả các trạm y tế trên toàn quốc; hoặc được tính theo cách: là trung bình của chỉ số hài lòng đối với dịch vụ tiêm chủng mở rộng của các tỉnh, thành phố trực thuộc trung ương.

d. Cách xác định một số chỉ tiêu đánh giá

- Tỷ lệ cơ sở khám chữa bệnh công lập thực hiện đo lường hài lòng đối với dịch vụ khám chữa bệnh là tổng số cơ sở khám chữa bệnh công lập thực hiện đo lường chia cho tổng số cơ sở khám chữa bệnh trên địa bàn tỉnh, thành phố nhân với 100.

- Tỷ lệ trạm y tế thực hiện đo lường đối với dịch vụ tiêm chủng mở rộng: là tổng số trạm y tế thực hiện đo lường chia cho tổng số trạm y tế trên địa bàn huyện/tỉnh/thành phố trực thuộc Trung ương nhân với 100.

- Tỷ lệ cơ sở y tế công áp dụng kết quả đo lường là tổng số cơ sở có giải pháp nhằm cải thiện dịch vụ chia cho tổng số cơ sở y tế công có thực hiện đo lường hài lòng nhân với 100.

2. Công bố kết quả đo lường hài lòng

Chỉ số hài lòng của người dân đối với dịch vụ y tế công cần được công bố công khai, kịp thời qua trang thông tin điện tử hoặc tại trụ sở của cơ quan, đơn vị. 

a) Các cơ sở y tế công lập

Các cơ sở y tế công lập tiến hành tự công bố chỉ số hài lòng của người dân đối với dịch vụ do đơn vị cung cấp theo đợt khảo sát và định kỳ hằng năm.

b) Sở Y tế các tỉnh/thành phố trực thuộc trung ương

- Sở Y tế các tỉnh, thành phố trực thuộc trung ương công bố chỉ số hài lòng của người dân đối với dịch vụ y tế công của địa phương.

- Một số tỷ lệ theo chỉ tiêu tại Quyết định này.

c) Bộ Y tế công bố chỉ số hài lòng của người dân đối với dịch vụ y tế công phạm vi cả nước, gồm những chỉ số sau:

- Chỉ số hài lòng của người dân đối với dịch vụ khám chữa bệnh tại cơ sở khám chữa bệnh trực thuộc Bộ Y tế.

- Chỉ số hài lòng của người dân đối với dịch vụ khám chữa bệnh tại cơ sở khám chữa bệnh trên toàn quốc và của các địa phương.

- Chỉ số hài lòng của người dân đối với dịch vụ tiêm chủng mở rộng trên toàn quốc và của các địa phương.

- Một số tỷ lệ theo chỉ tiêu tại Quyết định này.

IV. TRÁCH NHIỆM THỰC HIỆN

1. Bộ Y tế

a) Cục Quản lý Khám, chữa bệnh

- Chỉ đạo, hướng dẫn địa phương, đơn vị triển khai xác định chỉ số hài lòng của người dân đối với dịch vụ khám chữa bệnh.

- Đầu mối rà soát, hoàn thiện, cập nhật, xem xét mở rộng phạm vi dịch vụ khám chữa bệnh tiến hành đo lường sự hài lòng của người dân.

- Ứng dụng công nghệ thông tin trong triển khai khảo sát, đo lường sự hài lòng theo hình thức trực tuyến đảm bảo tính hiệu quả.

- Tổng hợp, báo cáo về chỉ số hài lòng của địa phương, đơn vị theo lĩnh vực quản lý.

- Phối hợp triển khai việc kiểm tra, giám sát các tổ chức, đơn vị trong tổ chức triển khai đo lường sự hài lòng của người dân đối với dịch vụ y tế công theo phạm vi trách nhiệm của đơn vị.

b) Cục Y tế dự phòng

- Chỉ đạo, hướng dẫn địa phương, đơn vị triển khai xác định chỉ số hài lòng của người dân đối với dịch vụ tiêm chủng mở rộng.

- Đầu mối rà soát, hoàn thiện, cập nhật, xem xét mở rộng phạm vi dịch vụ y tế dự phòng tiến hành đo lường sự hài lòng của người dân.

- Ứng dụng công nghệ thông tin trong triển khai khảo sát, đo lường sự hài lòng theo hình thức trực tuyến đảm bảo tính hiệu quả.

- Tổng hợp, báo cáo về chỉ số hài lòng của địa phương, đơn vị theo lĩnh vực quản lý.

- Phối hợp triển khai việc kiểm tra, giám sát các tổ chức, đơn vị trong tổ chức triển khai đo lường sự hài lòng của người dân đối với dịch vụ y tế công theo phạm vi trách nhiệm của đơn vị.

c) Vụ Tổ chức cán bộ

- Đầu mối tổng hợp về đề xuất mở rộng phạm vi dịch vụ y tế công để đo lường sự hài lòng của người dân; rà soát, hoàn thiện, tiếp nhận thông tin để báo cáo lãnh đạo Bộ để điều chỉnh, cập nhật phương pháp và cách xác định chỉ số hài lòng cho kịp thời.

- Phối hợp với Cục Quản lý Khám chữa bệnh và Cục Y tế dự phòng, Viện Chiến lược và Chính sách Y tế tổ chức hướng dẫn, đôn đốc các tổ chức, đơn vị triển khai đo lường sự hài lòng của người dân đối với dịch vụ y tế công.

- Tổ chức kiểm tra, giám sát việc triển khai đo lường sự hài lòng của người dân đối với dịch vụ y tế công của các tổ chức, đơn vị.

- Đầu mối công bố chỉ số hài lòng hằng năm về sự hài lòng của người dân đối với các dịch vụ y tế công trong toàn ngành.

- Ứng dụng công nghệ thông tin trong quản lý theo dõi, công bố về chỉ số hài lòng của người dân đối với dịch vụ y tế công của các đơn vị, địa phương.

- Đầu mối tổng kết, hoàn thiện bổ sung phương pháp và cách xác định chỉ số hài lòng trình cấp có thẩm quyền phê duyệt.

d) Vụ Kế hoạch - Tài chính:

- Bố trí kinh phí bảo đảm cho hoạt động hằng năm trong việc tổng hợp và công bố chỉ số hài lòng của toàn ngành; kiểm tra, giám sát việc thực hiện của các tổ chức, cơ quan, đơn vị và thực hiện đo lường độc lập theo yêu cầu.

- Phối hợp với các Vụ/Cục và đơn vị có liên quan hướng dẫn lập kế hoạch và xây dựng dự toán kinh phí cho việc tổng hợp chỉ số hài lòng của toàn ngành và triển khai đo lường sự hài lòng của người dân đối với dịch vụ y tế công.

e) Các Vụ/Cục/Văn phòng Bộ/Thanh tra Bộ:

- Tuyên truyền, hướng dẫn triển khai đo lường sự hài lòng của người dân đối với dịch vụ y tế công theo hướng dẫn của Bộ Y tế.

- Nghiên cứu, đề xuất dịch vụ y tế công theo phạm vi chức năng nhiệm vụ để bổ sung phạm vi đối tượng tiến hành đo lường sự hài lòng của người dân.

f) Các cơ sở y tế công lập; bệnh viện, viện trực thuộc Bộ Y tế

- Hằng năm, xây dựng kế hoạch và triển khai đo lường sự hài lòng của người dân đối với dịch vụ y tế công trong phạm vi dịch vụ y tế công tại Quyết định này, báo cáo về Sở Y tế, Bộ Y tế.

- Huy động nguồn lực để triển khai thực hiện có hiệu quả, không lãng phí nguồn lực.

- Hàng năm, công bố chỉ số hài lòng của người dân đối với dịch vụ y tế do đơn vị cung cấp; áp dụng giải pháp cải thiện chỉ số hài lòng của người dân của đơn vị và báo cáo về Sở Y tế, Bộ Y tế trước ngày 10/11.

g) Viện Chiến lược và Chính sách y tế

- Phối hợp với các đơn vị liên quan, hướng dẫn, tập huấn nghiệp vụ cho nhân lực thực hiện khảo sát.

- Phối hợp tổng hợp, xây dựng báo cáo của Bộ Y tế về chỉ số hài lòng của người dân đối với dịch vụ y tế công.

- Đầu mối thực hiện đánh giá độc lập, nghiên cứu đề xuất cập nhật, bổ sung hoàn thiện phương pháp, mở rộng phạm vi các dịch vụ y tế công được khảo sát đo lường sự hài lòng của người dân.

2. Đối với y tế các bộ, ngành, địa phương

a) Sở Y tế các tỉnh, thành phố trực thuộc trung ương

Tham mưu Ủy ban nhân dân các tỉnh, thành phố trực thuộc trung ương, chỉ đạo, thực hiện:

- Tổ chức triển khai đo lường sự hài lòng của người dân và công bố chỉ số hài lòng của người dân đối với dịch vụ y tế công thuộc phạm vi quản lý của địa phương.

- Chỉ đạo, hướng dẫn các cơ sở y tế công lập thuộc và trực thuộc sử dụng kết quả đo lường sự hài lòng để cải thiện chất lượng dịch vụ y tế công, nâng cao sự hài lòng của người dân.

- Hằng năm, tổng hợp, báo cáo về kế hoạch, kết quả triển khai đo lường sự hài lòng của người dân đối với dịch vụ y tế công trong phạm vi địa phương gửi về Bộ Y tế trước ngày 15/11.

b) Y tế các Bộ, Ngành khác và cơ sở y tế tư nhân

Khuyến khích cơ sở y tế các bộ, ngành và cơ sở y tế tư nhân triển khai và công bố chỉ số hài lòng của người dân đối với dịch vụ y tế trong phạm vi trách nhiệm của đơn vị, có báo cáo gửi về Bộ Y tế trước ngày 15/11 hằng năm.

V. KINH PHÍ THỰC HIỆN

Kinh phí thực hiện được bảo đảm từ nguồn ngân sách nhà nước, nguồn tài trợ và các nguồn kinh phí hợp pháp khác theo quy định của pháp luật.